线上麻将-麻将线上玩

线上麻将
线上麻将 线上麻将

线上麻将 新闻

麻将线上玩 杨喜田教授团队在侧柏根系生长与防御调控研究中取得重要进展

发布日期:2021-09-18 浏览次数:[]次
      近日,麻将线上玩 杨喜田教授团队在侧柏根系生长与防御调控研究中取得重要进展,该研究从时间尺度上揭示切根后侧柏根系生长与防御之间的权衡及其调控机制。
      侧柏是我国北方裸露山地植被恢复最常用的造林树种。在人工造林实践中,主要使用侧柏裸根苗进行造林,而其移栽或运输过程中,根系常遭受切根伤害,这制约了苗木造林后的生长和存活,造成森林生态系统严重退化,严重阻碍了我国干旱半干旱地区生态系统恢复和重建。因此,深入理解侧柏根系对切根的响应机制对科学指导植被恢复具有重要意义。在自然界中,植物遭受逆境胁迫或干扰时,根系通常会面临生长与防御间的权衡。然而,侧柏根系如何通过调节生长与防御策略来响应切根伤害的机制,目前尚不清楚。为了全面阐明切根后根系生长-防御权衡的作用机制,该研究利用侧柏为材料,以切根伤害为切入点,综合研究了根系生长、生理和蛋白质的动态特性及其响应规律。
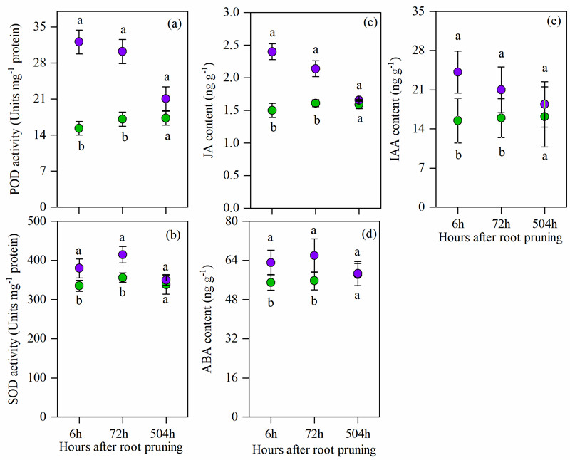
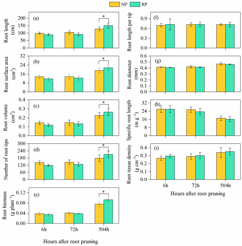
      研究发现,切根后侧柏根系生长(根长、根表面积、根体积和根尖数)和生理特征(植物激素:IAA、ABA和JA;抗氧化酶:POD和SOD)对切根的响应在时间上是不同步的,具体表现为:根系生长在切根后期(504 h)明显增加(图1),而其生理性状却在切根前期(6 h 和72 h)反应更敏感(图1)。有趣的是,与不切根相比,切根72 h侧柏根系上新根生长点显著增多,表明植物激素IAA在此阶段可能刺激了侧根的形成,最终促进了根系生长,可能IAA通过与多种植物激素和其它信号(例如ROS)交互作用来调节切根后侧柏根系生长-防御间的权衡。
线上麻将线上麻将
     图1 侧柏根系生长、形态和生理特征随切根时间的变化规律
      进一步通过蛋白质组学数据,系统比较分析了切根诱导侧柏根系的蛋白质表达差异,解析了可能参与侧柏根系响应切根伤害过程中介导生长-防御权衡的关键蛋白(图2),为利用分子育种手段丰富健壮苗木培育理论和植被恢复技术体系提供了理论基础。
线上麻将
     
图2 侧柏根系响应切根伤害的机理模式图
      该研究成果以题为“Coordination of root growth with root morphology, physiology and defense functions in response to root pruning in Platycladus orientalis”的研究论文在线发表于国际著名期刊Journal of Advanced Research(IF = 10.479)。杨喜田教授为通讯作者,我校冯志培博士和孔德良教授为共同第一作者,孔玉华副教授和美国东卡罗莱纳大学张宝红教授也参与了该研究相关工作。本研究得到了国家自然科学基金和中国博士后科研项目的支持。
      论文链接://doi.org/10.1016/j.jare.2021.07.005